逻辑回归1
逻辑斯特回归是什么?
- 不同于线性回归,逻辑回归是用来分类的。
典型数据集——鸢尾花卉数据集,用于实验逻辑回归代码,实验分类算法。典型数据集 - 如何将线性回归的方法改造成可以处理分类问题的方法?
如图,f(X)即为线性回归得到的模型函数,由图可看出,y在0-1之间,可以看做概率,也可以看做小于0.5是一类,大于0.5是另一类,可用来做分类。
问题被简化了,只需要将f(x)外面套上一个函数即可分类。- 类似于升降维度,
逻辑斯特回归
- 类似于升降维度,
- 几何角度的理解:
f(x) = 0,是分界常数,将数据分为了两类,一类的yprob大于0.5,一类小于0.5。
如何计算逻辑斯特回归?
- 使用MSE?
实测效果并不好,太多局部最优解。 - 使用极大似然估计:
计算所有样本发生某种情况的概率,也就是独立同分布,比如,可以同时算出A是1的概率P和A是0的概率1-P,取所有ABCD…判断正确的概率,相乘,使这个乘积最大就是拟合最好的情况(ABCD…都有正确的分类)。
为了方便计算所以套了个log。
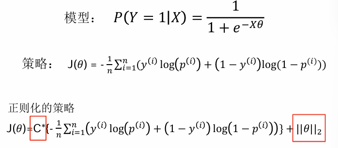
最后红色的函数越小,拟合结果越好。极大似然估计 - 完整策略
只要找到策略函数最小时的系数就可以了。
同样,需要正则化,C越大,模型越复杂,C越小,模型越简单。逻辑斯特回归 - 梯度下降法
和之前一样。逻辑斯特梯度下降
真实情况
- 往往无法做到线性可分,即一条线完美分开所有的两种类目。而太复杂又会发生过拟合。因此要调节C。
- 非线性问题,决策线是一个圆。
可以对原来的x进行数据处理,全部平方。非线性问题













